Care Fitness 50851 User Manual
Page 30

De etappes van een geleidelijke trainingsopbouw:
1) Een fase van opwarming (warming-up):
Elke training moet met een geleidelijke opwarming worden begonnen (10-20 minuten, meer na 50 jaar) om uw
spieren soepel te maken en uw hartfrequentie geleidelijk aan te verhogen. Het aantal slagen moet stapsgewijs naar
55% van uw MHF (maximale hartfrequentie) worden gebracht.
Tijdens de duur van de opwarming moet uw hartfrequentie op dit niveau worden gehouden.
U verhoogt het risico op pees- en spierblessures als te snel de eigenlijke training wordt begonnen.
2) Een fase van training:
Dit is het hoofdgedeelte van de training.
Afhankelijk van uw eigen doelstellingen en uw lichamelijke conditie kunt u de passende doelzone kiezen en gericht
trainen: gewichtsverlies, verbetering van uw hart en bloedvaten (aërobe training) of vergroting van uw
uithoudingsvermogen (anaërobe training).
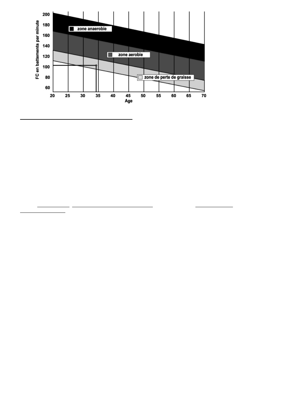
De zone voor vetverlies, 55 - 65%
De hartfrequentie moet laag en de trainingsduur vrij lang zijn. Deze zone wordt met name aangeraden voor personen
die opnieuw een lichamelijke inspanning doen na een lange periode van inactiviteit, personen die overtollig
gewicht willen kwijtraken of personen die hartproblemen ondervinden. U moet niet vergeten dat voor dit type
training de trainingsduur minstens 30 minuten moet zijn en dat de hartfrequentie (HF) tussen 55 en 65% van de MHF
moet liggen.
- Geleidelijk verhogen van 30 naar 60 minuten per training.
- Regelmatig 3 of 4 keer per week trainen.
De aërobe zone, 65 - 85%
Deze zone wordt aanbevolen voor personen met een goede lichamelijke conditie die regelmatig trainen. Met een
training in deze zone vergroot u uw lichamelijke conditie en brengt u de gevolgen van stress en een druk leven terug.
- Duur: 20 tot 30 minuten per training.
- Frequentie: minstens 3 of 4 keer per week.
De anaërobe zone, 85% - 100%
Deze zone is alleen geschikt voor geoefende atleten en wordt afgeraden zonder toestemming of begeleiding
door een arts. Deze zone is alleen bedoeld voor goed getrainde personen en wordt gebruikt voor intervaltrainingen
(of korte sprintoefeningen) om het uithoudingsvermogen te verbeteren of te meten.
De trainingstijd in deze zone moet kort zijn om ongevallen uit te sluiten.
3) Een fase van afkoeling (cool-down):