Olson Technology OTM-3550-SW User Manual
Page 4
Advertising
025-000233 REV E
Page 4
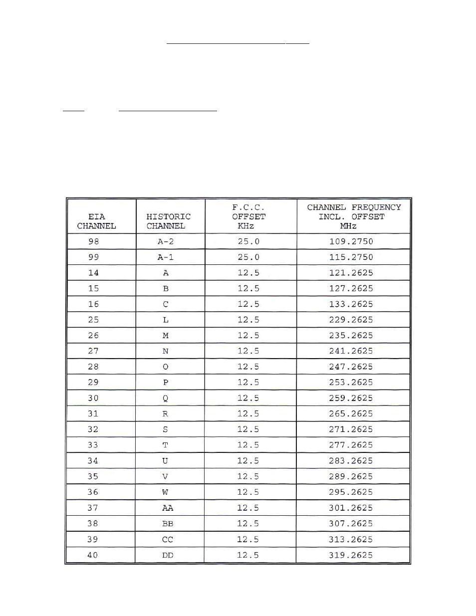
OFFSET SELECT INFORMATION
1)
Channels 14 (A), 15 (B), 16 (C), 25 to 41 (L to EE) & 43 to 53 (GG to QQ) = 12.5KHz.
2)
Channels 98 (A-2), 99 (A-1) & 42 (FF) = 25KHz.
3)
All others = 0KHz.
Offset
(3) Rightmost DIP Switches
0KHz
0 1 1
12.5KHz
1 0 1
25.0KHz
1 1 0
3) F.C.C. OFFSET FREQUENCIES
Advertising
See also other documents in the category Olson Technology TV Accessories:
- 6920-RT-x (7 pages)
- LLRX-400 (Arris) (6 pages)
- 7-OR (10 pages)
- SA6940-RT (8 pages)
- DSK-300-S (9 pages)
- FRMUC-AR440 (7 pages)
- LLRX-200 (Arris) (7 pages)
- DSK-550 (11 pages)
- FRMUC-T-6940 (7 pages)
- NTM342x (5 pages)
- ISX-3040 (6 pages)
- LCD-550x1 (13 pages)
- LCM-300-S (10 pages)
- LCM-500-550-BG (6 pages)
- LCM-500-550 (5 pages)
- LCM-550x1 (FAC) (3 pages)
- LCM-550x1 (PAL B/G) (4 pages)
- LCM-500-550-DF (6 pages)
- LCM-550x1 (PAL I) (4 pages)
- LCM-550x1 (11 pages)
- LCM-600 (6 pages)
- LCM-6550 (6 pages)
- LCx12-AMP (3 pages)
- LCM-750x3 (8 pages)
- LCP-500-550 (10 pages)
- LP-PS-X (11 pages)
- LP-DC-X (10 pages)
- LP-OA (7 pages)
- LP-OT-RCxx (7 pages)
- LP-OR-304 (10 pages)
- LP-penis (21 pages)
- OLMT (9 pages)
- OLRT (8 pages)
- Penis (27 pages)
- OTA-1000 (5 pages)
- OT-1000-HH Rev.X4 (20 pages)
- OTD-3000-BG (8 pages)
- OTD-3000 (12 pages)
- OTM-3000 (PAL D) (7 pages)
- OT-1000-HH Rev.X2 (24 pages)
- OTDC-440-X (2 pages)
- OT-DCM-F (6 pages)
- OTD-3000-I (9 pages)
- OTDL-FOM-01 (6 pages)
- LCM-550x1-Series (50 pages)