Basler Electric BE1-11t User Manual

Page 505

Advertising
background image

9424200995 Rev H

493

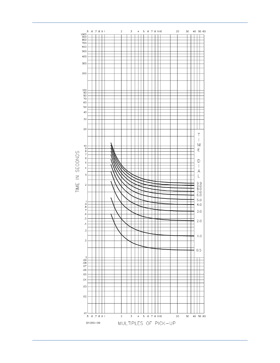
Figure 302. Time Characteristic Curve D, Definite Time (Similar To ABB CO-6)

BE1-11t

Time Curve Characteristics

Advertising