Cardio-training – Care Fitness 50503 User Manual
Page 13

Cardio-Training
Es ermöglicht eine Förderung des Herz-Kreislauf-Systems (Tonus Herz / Blutgefäße).
Bei einem Cardio-Training brauchen die Muskeln die Zufuhr von Sauerstoff und Nährstoffen und müssen ihre
Abfallstoffe ausscheiden. Unser Herz beschleunigt seinen Rhythmus und transportiert über das
kardiovaskuläre System eine größere Sauerstoffmenge in den Organismus.
Je mehr man regelmäßig und wiederholt trainiert, desto stärker entwickelt sich das Herz, genau wie ein
gewöhnlicher Muskel. Im Alltag zeigt sich das in der Fähigkeit, größere körperliche Anstrengungen zu
bewältigen. Auch die intellektuellen Fähigkeiten nehmen zu.
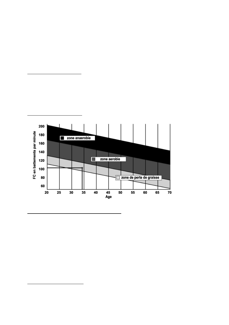
Definition Ihres Arbeitsbereichs:
Die maximale Herzfrequenz (MHF) = 220 – Alter (180 – Alter bei sitzender Lebensweise).
Der Aufwärm- und Abkühlbereich ist gleich 55 % Ihrer MHF.
Der Fettabbaubereich liegt zwischen 55 und 65 % Ihrer MHF.
Der aerobische Bereich liegt zwischen 65 und 85 % Ihrer MHF.
Der anaerobische Bereich liegt zwischen 85 und 100 % Ihrer MHF.
Schematische Darstellung der
Die Etappen eines progressiven Trainings:
1) Eine Aufwärmphase:
Beginnen Sie jedes Training mit einer progressiven Aufwärmphase (10 – 20 Min., bei über 50-jährigen noch
länger), die Ihre Muskeln weckt und behutsam Ihren Herzrhythmus erhöht. Steigern Sie behutsam Ihren Puls
auf 55 % Ihrer MHF (maximalen Herzfrequenz).
Halten Sie während der Aufwärmphase Ihre Herzfrequenz auf dieser Höhe.
Wenn Sie zu rasch mit Ihrem Training beginnen, gehen Sie ein erhöhtes Risiko von Muskel- und
Sehnenverletzungen ein.
2) Eine Arbeitsphase:
Dies ist der Hauptteil des Trainings.
Je nach Ihrer physischen Ausgangskondition und Ihren spezifischen Zielen, Gewichtsverlust, Verbesserung
der kardiovaskulären Ausdauer (aerobische Arbeit), Entwicklung der Ausdauer (anaerobische Arbeit),
können Sie Ihren adäquaten Zielbereich wählen.
Der Fettabbaubereich, 55 – 65 %
Die Herzfrequenz muss niedrig und die Übungsdauer relativ lang sein. Dieser Bereich wird denjenigen
Personen empfohlen, die nach langer Zeit der Inaktivität wieder eine physische Aktivität aufnehmen,
Übergewicht abbauen möchten oder Herzprobleme aufweisen. Beachten Sie, dass bei dieser Trainingsform