Les étapes d’un entraînement progressif – Care Fitness 50503 User Manual
Page 5

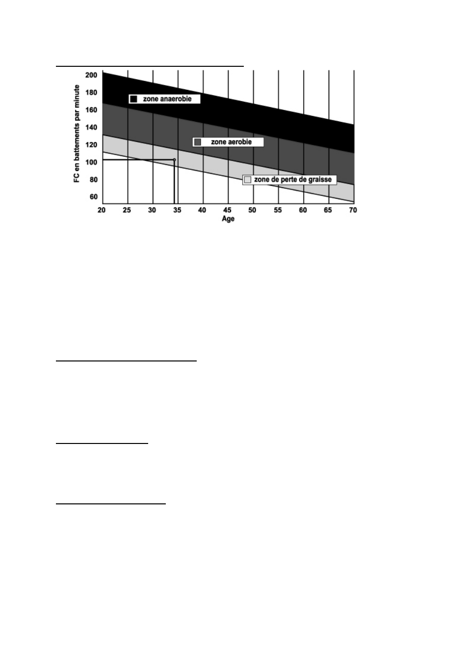
Les étapes d’un entraînement progressif :
1) Une phase d'échauffement :
Commencez chaque entraînement par un échauffement progressif (10-20 mn, plus au-delà de 50 ans) qui
mettra en éveil vos muscles et élèvera doucement votre rythme cardiaque. Elevez doucement vos pulsations
à 55% de votre FCM (Fréquence Cardiaque Maximale).
Tenez votre Fréquence Cardiaque à ce niveau pendant la durée de l’échauffement.
Si vous commencez trop rapidement votre entraînement, vous risquez d’augmenter les risques de blessures
tendino - musculaire.
2) Une phase de travail :
C’est la partie principale de l’entraînement.
Selon vos buts spécifiques, perte de poids, amélioration de la résistance cardio – vasculaire (travail aérobie),
développement de la résistance (travail anaérobie) il est possible de choisir la zone cible adéquate.
La Zone de Perte de Graisse, 55 - 65%
La fréquence cardiaque doit être basse et la durée d'exercice assez longue. Cette zone est conseillée pour
les personnes reprenant une activité physique depuis longtemps oubliée, recherchant à éliminer un
surcroît pondérale, ou exposées à des problèmes cardiaques. N’oubliez pas que pour ce type
d’entraînement la durée de l’exercice doit être d’au moins 30 minutes et la Fréquence Cardiaque (FC)
comprise entre 55 et 65% de la FCM .
-
Elevez graduellement de 30 à 60 minutes par séance.
-
Exercez vous 3 ou 4 fois par semaine.
La Zone Aérobie, 65-85%
Cette zone est recommandée pour ceux qui ont une bonne condition physique et qui s’entraînent régulièrement.
En vous entraînant dans cette zone, vous augmenterez votre condition physique en évitant le surmenage.
-
Durée : 20 à 30 minutes par séance
-
Fréquence : Au moins 3 ou 4 fois par semaine.
La Zone Anaérobie, 85%-FCM
Cette zone est seulement prévue pour des athlètes confirmés et n’est jamais recommandé sans approbation
ou surveillance médicale. Cette zone est uniquement destinée à des personnes très entraînées. Elle est
utilisée pour un entraînement en intervalle (ou pour des courtes courses de sprint) pour aider à améliorer ou
mesurer les niveaux d'endurance.
Le temps passé dans cette zone doit être bref sous peine d’accident.
3) Une phase de retour au calme :
Il s’agit de la réduction de l'effort (10 à 20 mn). Cela permet un retour au calme du système cardio-vasculaire
(55% de la FCM) et d’éviter ou de diminuer les douleurs musculaires tel que les crampes et les courbatures.
Les étirements doivent suivre la séance d'étirements pendant que les articulations sont encore chaudes.
Cela détend les muscles et aide à éviter les courbatures.