Consigli per l'allenamento – Care Fitness 50503 User Manual
Page 22

CONSIGLI PER L'ALLENAMENTO
Attenzione:
Prima di programmare l'allenamento, è indispensabile tenere conto dell'età, in particolare per le persone con
più di 35 anni, e della forma fisica dell'utente. In caso di stile di vita sedentario, senza un'attività fisica
regolare, è essenziale consultare il proprio medico per determinare il livello di intensità dell'allenamento. Una
volta determinato, non cercare di raggiungere il livello massimo fin dai primi allenamenti. Se si è pazienti, le
prestazioni miglioreranno rapidamente.
L'allenamento Cardio-Training:
Consente di sviluppare il sistema cardiovascolare (tonicità del cuore/vasi sanguigni).
Durante un allenamento Cardio-Training, i muscoli necessitano di un apporto di ossigeno, di sostanze
nutritive e di eliminare le tossine. Il cuore accelera il battito e fa circolare nell'organismo una maggiore
quantità di ossigeno, attraverso il sistema cardiovascolare.
Più gli esercizi sono regolari e ripetitivi, più il cuore si sviluppa, allo stesso modo di un normale muscolo.
Nella vita quotidiana ciò si traduce nella facoltà di sostenere sforzi fisici più importanti e nell'aumento delle
facoltà intellettive.
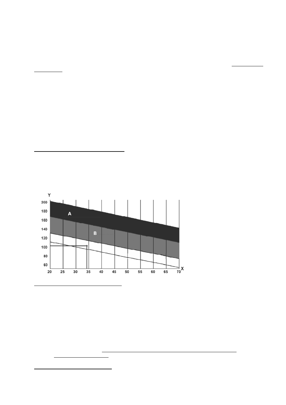
Definizione della propria Area di lavoro:
Frequenza cardiaca massima (FCM) = 220 - età (180 - età per le persone sedentarie).
L'Area di riscaldamento e di recupero è pari al 55% della propria FCM.
L'Area di perdita di grasso è compresa tra il 55 / 65% della propria FCM.
L'Area aerobica è compresa tra il 65 / 85% della propria FCM.
L'Area anaerobica è compresa tra l'85% della propria FCM e quest'ultima.
Le fasi di un allenamento progressivo:
1) Fase di riscaldamento:
Iniziare ogni allenamento con un riscaldamento progressivo (10-20 min, di più oltre i 50 anni) che risveglierà i
muscoli e aumenterà gradatamente il ritmo cardiaco. Aumentare leggermente le pulsazioni al 55% della
propria FCM (Frequenza cardiaca massima).
Mantenere la frequenza cardiaca a questo livello durante il riscaldamento.
Se si inizia l'allenamento troppo rapidamente, si rischia di aumentare l'eventualità di lesioni tendino-
muscolari.
2) Fase di lavoro:
È la parte principale dell'allenamento.
In base ai propri scopi specifici, perdita di peso, miglioramento della resistenza cardiovascolare (lavoro
aerobico), sviluppo della resistenza (lavoro anaerobico), è possibile scegliere l'area meta appropriata.
Area di perdita di grasso, 55 - 65%