Consejos de entrenamiento – Care Fitness 50847 User Manual

Page 20

Advertising
background image

parpadea, pulse UP o DOWN y ENTER para programar el nivel desde 1 hasta 16, cada
incremento/reducción de celda equivale a 2 niveles. Mantenga pulsado ENTER durante 2
segundos para acceder al modo inicial (standby), luego puede programar el valor objetivo para
TIME, DISTANCE, STROKES, CALORIES, PULSE.

B. Pulse el botón START para comenzar el ejercicio y la señal STOP desaparecerá. Todos los

valores empiezan a contar o la cuenta atrás. Puede pulsar los botones UP o DOWN para ajustar
la resistencia para cada perfil de programa que parpadee como desee (todos los perfiles
parpadearán en secuencia automáticamente). Durante el ejercicio, cada 6 segundos se
mostrará automáticamente el valor de TIME y TIME/500M, STROKES y TOTAL STROKES y
CALORIES. También puede pulsar “ENTER” para mostrar TIME, SPM, DISTANCE, STROKES
y CALORIES en la pantalla principal (centro).

C. Pulse el botón STOP para detener el ejercicio, el monitor se detendrá y mostrará su frecuencia

cardíaca en ese momento en la pantalla principal (centro), y TIME y TIME/500M parpadearán
por turnos cada 6 segundos.


CONSEJOS DE ENTRENAMIENTO

Importante:
Antes de programar su entrenamiento es imprescindible tener en cuenta su edad, especialmente en el caso
de personas mayores de 35 años, así como su forma física. Si lleva usted un modo de vida sedentario sin
actividad física regular, es muy importante que consulte a su médico para determinar el nivel de intensidad
de su entrenamiento. Una vez determinado, no intente conseguir su nivel máximo durante las primeras
sesiones. Tenga paciencia, su rendimiento aumentará rápidamente.

El entrenamiento Cardio – Training
Permite desarrollar el sistema cardiovascular (tonicidad cardiaca / vasos sanguíneos).
Durante un entrenamiento Cardio – Training, los músculos requieren un aporte de oxígeno y sustancias nutritivas,
y también necesitan eliminar las sustancias de desecho. Nuestro corazón acelera el ritmo cardiaco, enviando una
mayor cantidad de oxígeno al organismo a través del sistema cardiovascular. Como con cualquier otro músculo,
cuanto más ejercicio se haga de manera regular y repetitiva, más se desarrollará el corazón. En la vida cotidiana,
esto se traduce en una mayor capacidad para soportar esfuerzos físicos considerables, y en un aumento de las
facultades mentales.

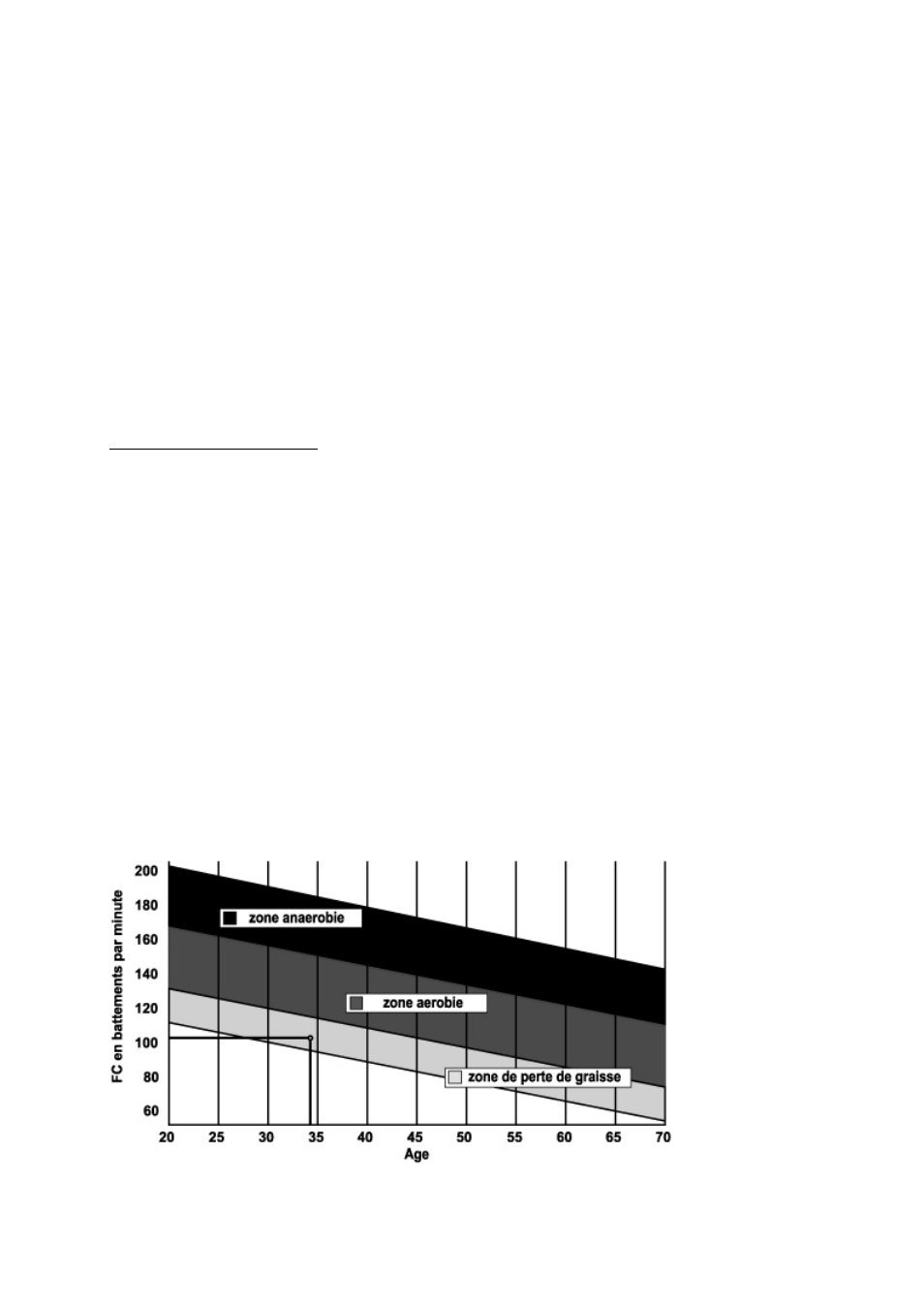
Definición de su zona de trabajo

La frecuencia cardiaca máxima (FCM) = 220 – edad (180 – edad, para las personas sedentarias).

La zona de calentamiento y enfriamiento es igual al 55% de su FCM.
La zona de pérdida de grasa está comprendida entre el 55% y el 65% de su FCM.
La zona aeróbica está comprendida entre el 65% y el 85% de su FCM.
La zona anaeróbica está comprendida entre 85% y el 100% de su FCM.


1) Una fase de calentamiento

Advertising