Care Fitness 86833-5 User Manual

Page 10

Advertising
background image

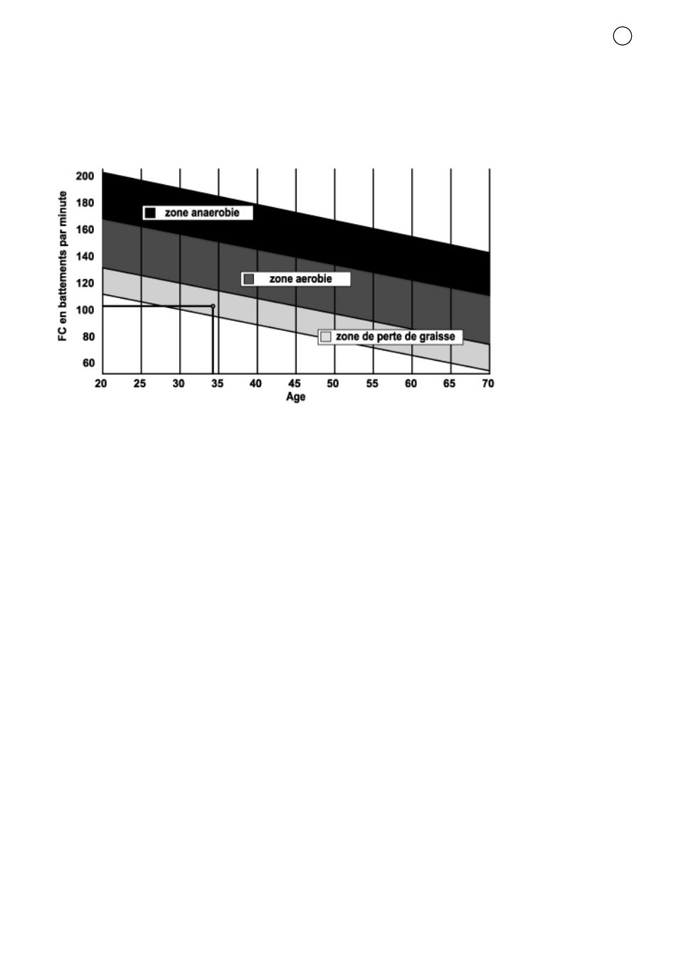
The Warming Up Zone and Cooling Down Zone are equal to 55% of your MHR.

The Fat Loss Zone is between 55 / 65% of your MHR.

The Aerobic Zone is between 65 / 85% of your MHR.

The Anaerobic Zone is between 85% of your MHR and your MHR.

Make a diagram of the target zones

The progressive training stages:

1) A warming up phase:

Start each training session by warming up progressively (10-20 min, more if you are

over 50) which will put your muscles on standby and gently increase your heart rate.

Gently increase your pulse to 55% of your MHR (Maximum Heart Rate).

Keep your Heart Rate at this level for the duration of the warming up time. If you

begin your training too quickly, you are in danger of increasing the risk of tendon or

muscle injury.

2) A work phase:

This is the main part of the training session. Depending on your specific goals and

your initial physical condition, weight loss, improvement of cardiovascular resistance

(aerobic work), development of stamina (anaerobic work), it is possible to choose the

appropriate target zone.

The Fat Loss Zone, 55 – 65%

The heart rate must be low and the duration of the exercise quite long. This zone is

advised for people resuming physical activity after a long period of idleness, who

are trying to eliminate excess weight or are susceptible to cardiac problems. Do not

forget that for this type of training the duration of the exercise must be at least 30

minutes and the Heart Rate (HR) between 55 and 65% of the MHR. - Gradually increase

from 30 to 60 minutes per session.

- Exercise 3 or 4 times a week.

10

GB

Advertising