Care Fitness 86833-5 User Manual

Page 15

Advertising
background image

Cardio-Training

• Es ermöglicht eine Förderung des Herz-Kreislauf-Systems (Tonus Herz / Blutgefäße).

• Bei einem Cardio-Training brauchen die Muskeln die Zufuhr von Sauerstoff und

Nährstoffen und müssen ihre Abfallstoffe ausscheiden. Unser Herz beschleunigt

seinen Rhythmus und transportiert über das kardiovaskuläre System eine größere

Sauerstoffmenge in den Organismus.

• Je mehr man regelmäßig und wiederholt trainiert, desto stärker entwickelt sich das

Herz, genau wie ein gewöhnlicher Muskel. Im Alltag zeigt sich das in der Fähigkeit,

größere körperliche Anstrengungen zu bewältigen. Auch die intellektuellen

Fähigkeiten nehmen zu.

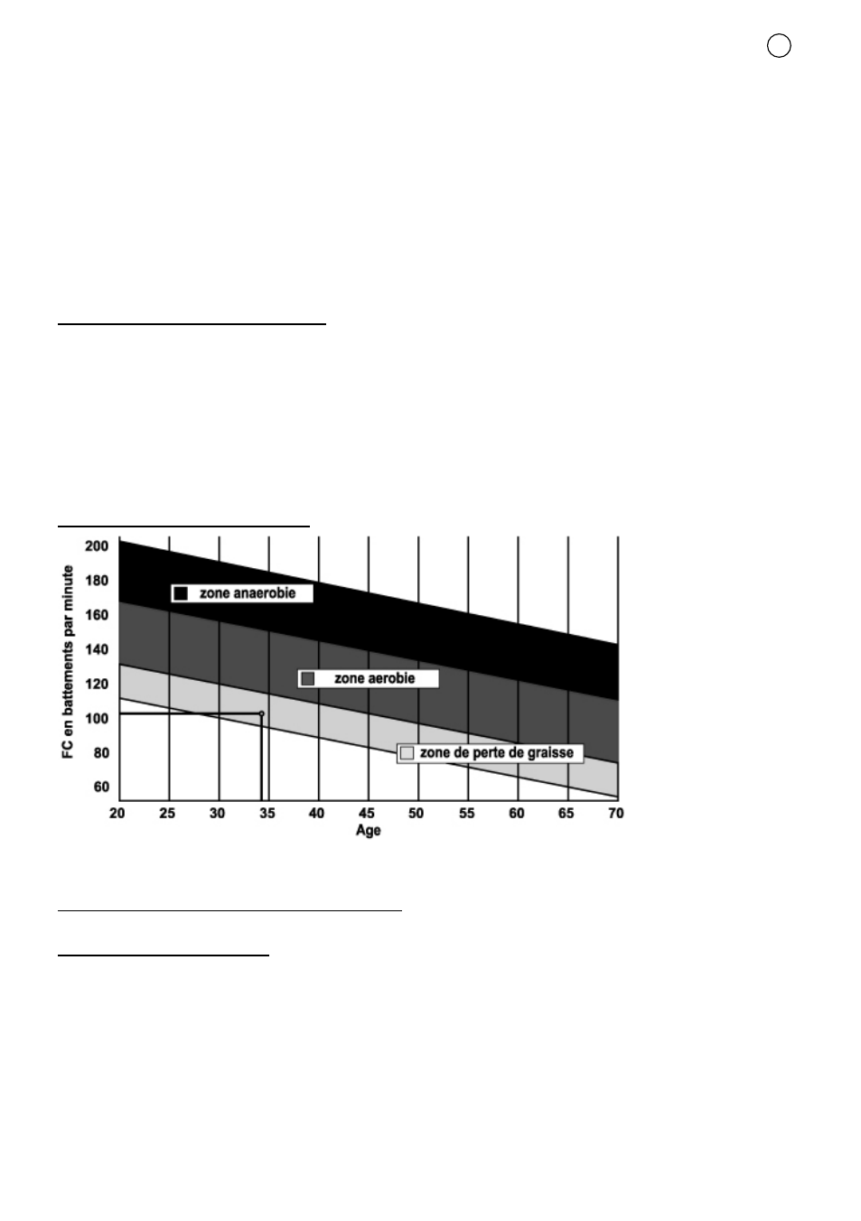
Definition Ihres Arbeitsbereichs:

Die maximale Herzfrequenz (MHF) = 220 – Alter (180 – Alter bei sitzender

Lebensweise).

Der Aufwärm- und Abkühlbereich ist gleich 55 % Ihrer MHF.

Der Fettabbaubereich liegt zwischen 55 und 65 % Ihrer MHF.

Der aerobische Bereich liegt zwischen 65 und 85 % Ihrer MHF.

Der anaerobische Bereich liegt zwischen 85 und 100 % Ihrer MHF.

Schematische Darstellung der

Die Etappen eines progressiven Trainings:

1) Eine Aufwärmphase:

Beginnen Sie jedes Training mit einer progressiven Aufwärmphase (10 – 20 Min.,

bei über 50-jährigen noch länger), die Ihre Muskeln weckt und behutsam Ihren

Herzrhythmus erhöht. Steigern Sie behutsam Ihren Puls auf 55 % Ihrer MHF (maximalen

Herzfrequenz).

Halten Sie während der Aufwärmphase Ihre Herzfrequenz auf dieser Höhe.

Wenn Sie zu rasch mit Ihrem Training beginnen, gehen Sie ein erhöhtes Risiko von

Muskel- und Sehnenverletzungen ein.

15

D

Advertising