Low/high pass variable ‘q’ filter (low pass shown) – XTA 5 Series User Manual
Page 61

✁
✂
✄
☎
✂
✆
✁
✂
✄
☎
✂
✆
✁
✂
✄
☎
✂
✆
✁
✂
✄
☎
✂
✆
Operator’s Manual
Page 61
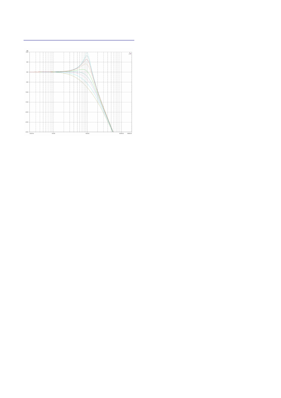
Low/High Pass Variable ‘Q’ Filter (Low Pass shown)
InA Input A LPF:1~~
InA Input A LPF:1~~
InA Input A LPF:1~~
InA Input A LPF:1~~\
\
\
\
1k00Hz Q=3.0 LPF VarQ
1k00Hz Q=3.0 LPF VarQ
1k00Hz Q=3.0 LPF VarQ
1k00Hz Q=3.0 LPF VarQ
Remember – to change filter types, press BYPASS
BYPASS
BYPASS
BYPASS to bypass
the filter, and then use ENTER
ENTER
ENTER
ENTER to select the filter type.
The low and high pass variable ‘Q’ filters have adjustable
frequency and ‘Q’ (or Bandwidth) controls. The ‘Q’ control
adjust the damping of the filter, so that low ‘Q’ settings show
less overshoot at the turnover frequency, but also slower roll-
off.
Remember that ‘Q’ is 1/Bandwidth, so the higher the ‘Q’, the
lower the Bandwidth, and the smaller the range of frequencies
affected. The filter is primarily 12dB/Octave, but in achieving
this sort of roll-off with a high ‘Q’ value will result in quite a
large overshoot in level at the turnover frequency. This type of filter is often also called a resonant filter.