Basler Electric BE1-851 User Manual

Page 340

Advertising
background image

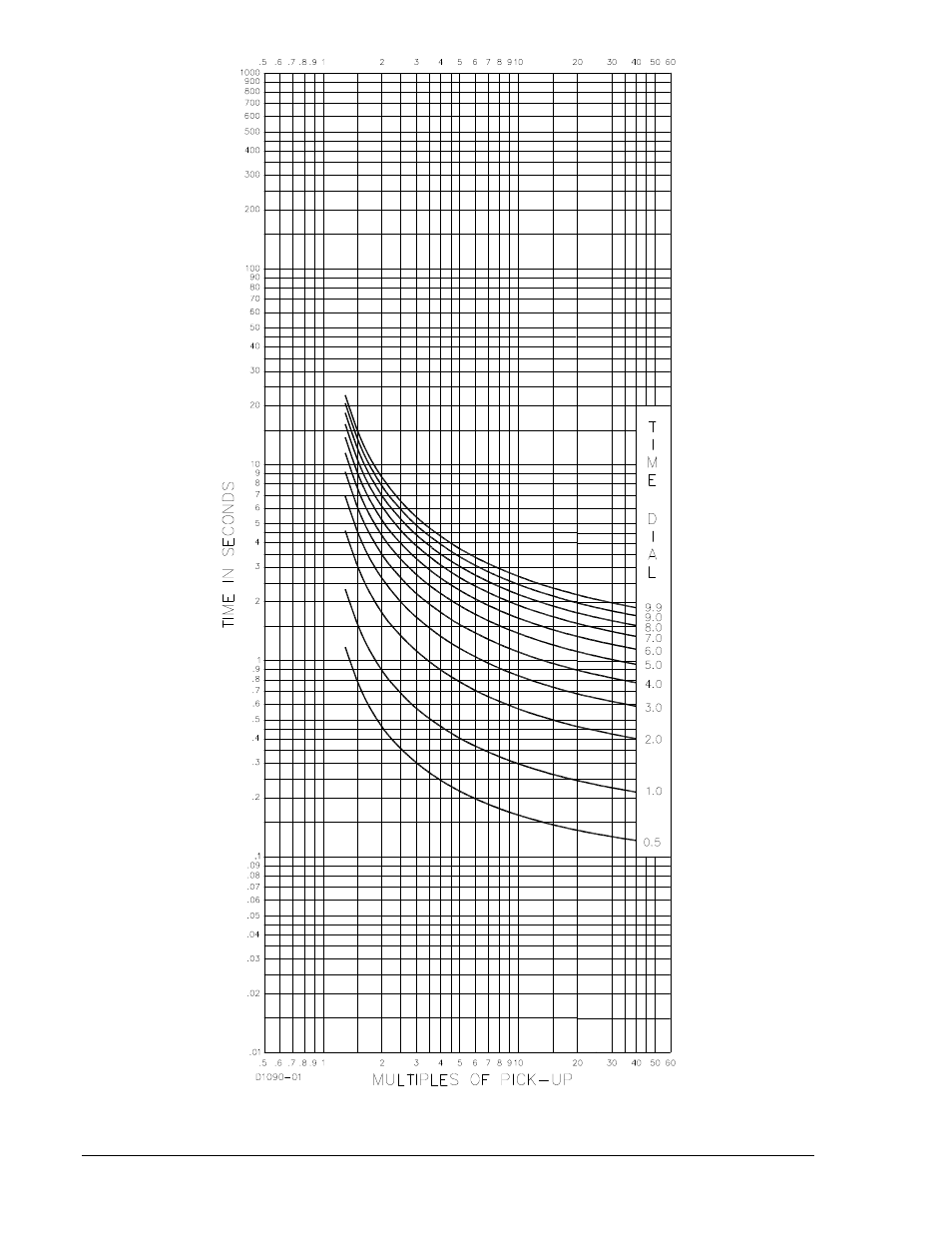
Figure A-6. Time Characteristic Curve M, Moderately Inverse (Similar to ABB CO-7)

A-10

BE1-851 Time Overcurrent Characteristic Curves

9289900990 Rev R

Advertising